Вернуться к содержанию учебника
Страница 106
568 569 570 571 572 573 574 575 576 577 578
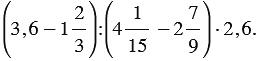
Найдите значение выражения:
Вспомните: