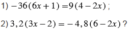
Номер 42 - ГДЗ Алгебра 7 класс. Мерзляк, Полонский. Учебник. Страница 16

Вернуться к содержанию учебника

Страница 16

39 40 41 42 43 44 45

Вопрос

Чему равен корень уравнения:

Подсказка

Ответ


Вернуться к содержанию учебника