Вернуться к содержанию учебника
Страница 124
713 714 715 716 717 718 719 720 721 722 723
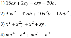
Разложите на множители:
Вспомните: