Задание 1132 - ГДЗ Геометрия 7-9 класс. Атанасян. Учебник

Старая и новая редакции

Вернуться к содержанию учебника

1129 1130 1131 1132 1133 1134 1135

Вопрос

Выберите год учебника

№1132 учебника 2013-2022 (стр. 285):

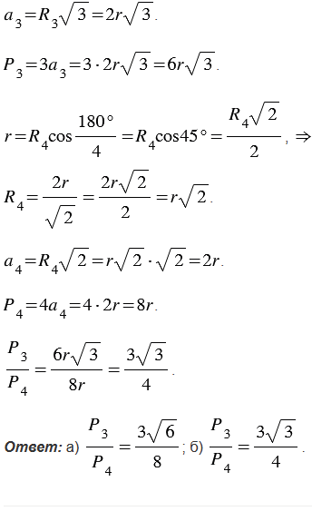
Найдите отношение периметров правильного треугольника и квадрата: а) вписанных в одну и ту же окружность; б) описанных около одной и той же окружности.


№1132 учебника 2023-2024 (стр. 288):

К одной и той же точке приложены две силы и , действующие под углом 1200 друг к другу, причём , . Найдите величину равнодействующей силы .

Подсказка

№1132 учебника 2013-2022 (стр. 285):

Вспомните:

  1. Какой многоугольник называется правильным.
  2. Что такое треугольник.
  3. Что такое квадрат.
  4. Какая окружность называется описанной около правильного многоугольника, какая вписанной в него.
  5. Формулы для вычисления стороны правильного многоугольника, периметра и радиуса, вписанной в него окружности.

№1132 учебника 2023-2024 (стр. 288):

Вспомните:

  1. Что такое треугольник.
  2. Теорему косинусов.
  3. Что такое параллелограмм.
  4. Теорему об односторонних углах.
  5. Что такое вектор.
  6. Что называется длиной вектора.

Ответ

№1132 учебника 2013-2022 (стр. 285):


№1132 учебника 2023-2024 (стр. 288):


Вернуться к содержанию учебника